Официальное опубликование правовых актов
ОФИЦИАЛЬНОЕ ОПУБЛИКОВАНИЕ
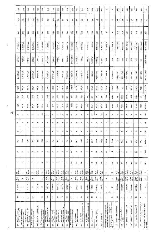
Постановление Правительства Архангельской области от 04.08.2015 № 321-пп
"О внесении изменений в адресную программу Архангельской области "Переселение граждан из аварийного жилищного фонда" на 2013 – 2017 годы"
Номер опубликования: 2900201508110001
Дата опубликования: 11.08.2015
Страница №43 из 113:
Увеличить