Официальное опубликование правовых актов
ОФИЦИАЛЬНОЕ ОПУБЛИКОВАНИЕ
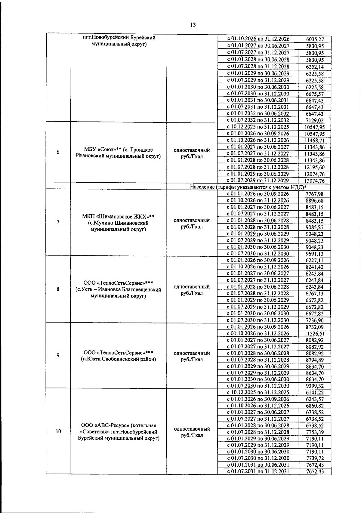
Приказ Управления государственного регулирования цен и тарифов Амурской области от 10.12.2025 № 143-пр/т
"Об установлении тарифов в сфере теплоснабжения на 2025-2032 гг. О внесении изменений в приказы управления государственного регулирования цен и тарифов Амурской области"
(Зарегистрирован 11.12.2025 № ИО-265)
Номер опубликования: 2801202512150002
Дата опубликования: 15.12.2025
Страница №13 из 17:
Увеличить