Официальное опубликование правовых актов
ОФИЦИАЛЬНОЕ ОПУБЛИКОВАНИЕ
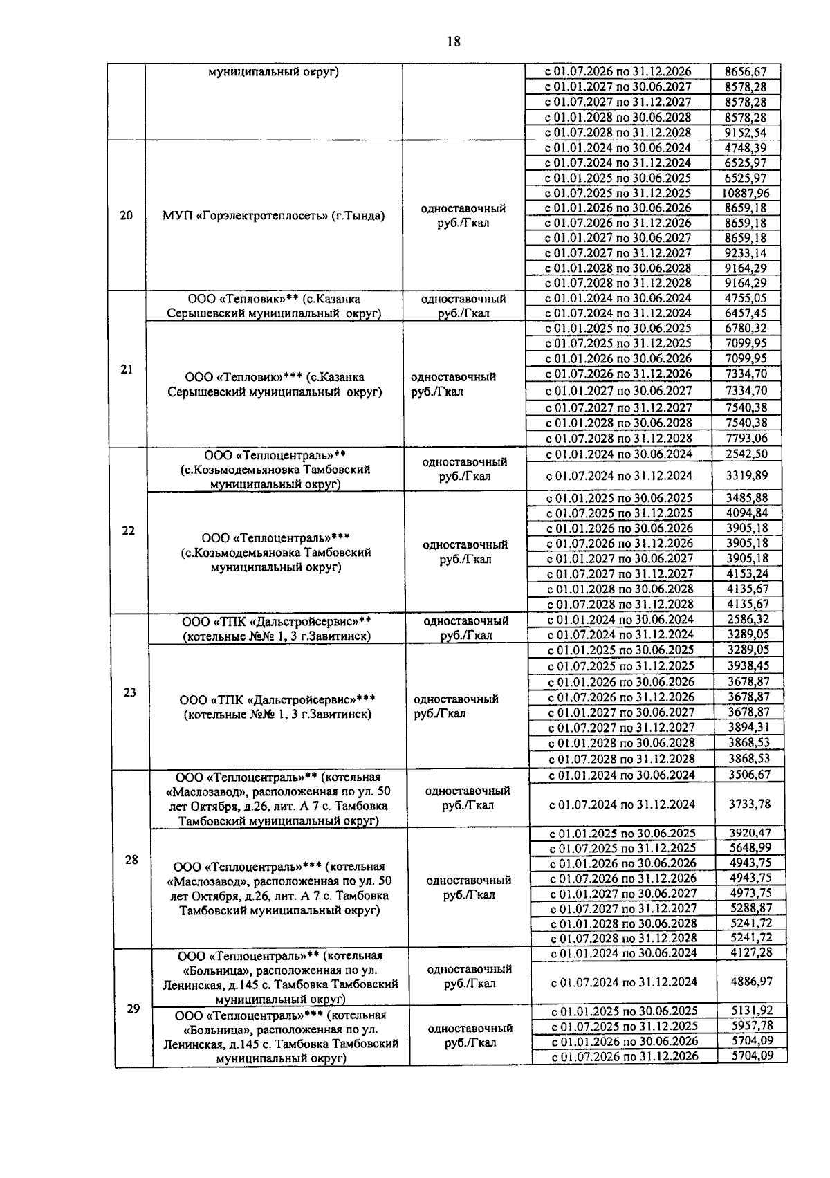
Приказ Управления государственного регулирования цен и тарифов Амурской области от 27.12.2024 № 195-пр/т
"Об установлении тарифов в сфере теплоснабжения на 2025-2028 гг. О внесении изменений в приказы управления государственного регулирования цен и тарифов Амурской области"
(Зарегистрирован 27.12.2024 № ИО-603)
Номер опубликования: 2801202412280001
Дата опубликования: 28.12.2024
Страница №18 из 27:
Увеличить