Официальное опубликование правовых актов
ОФИЦИАЛЬНОЕ ОПУБЛИКОВАНИЕ
Приказ Министерства финансов Амурской области от 04.12.2024 № 311
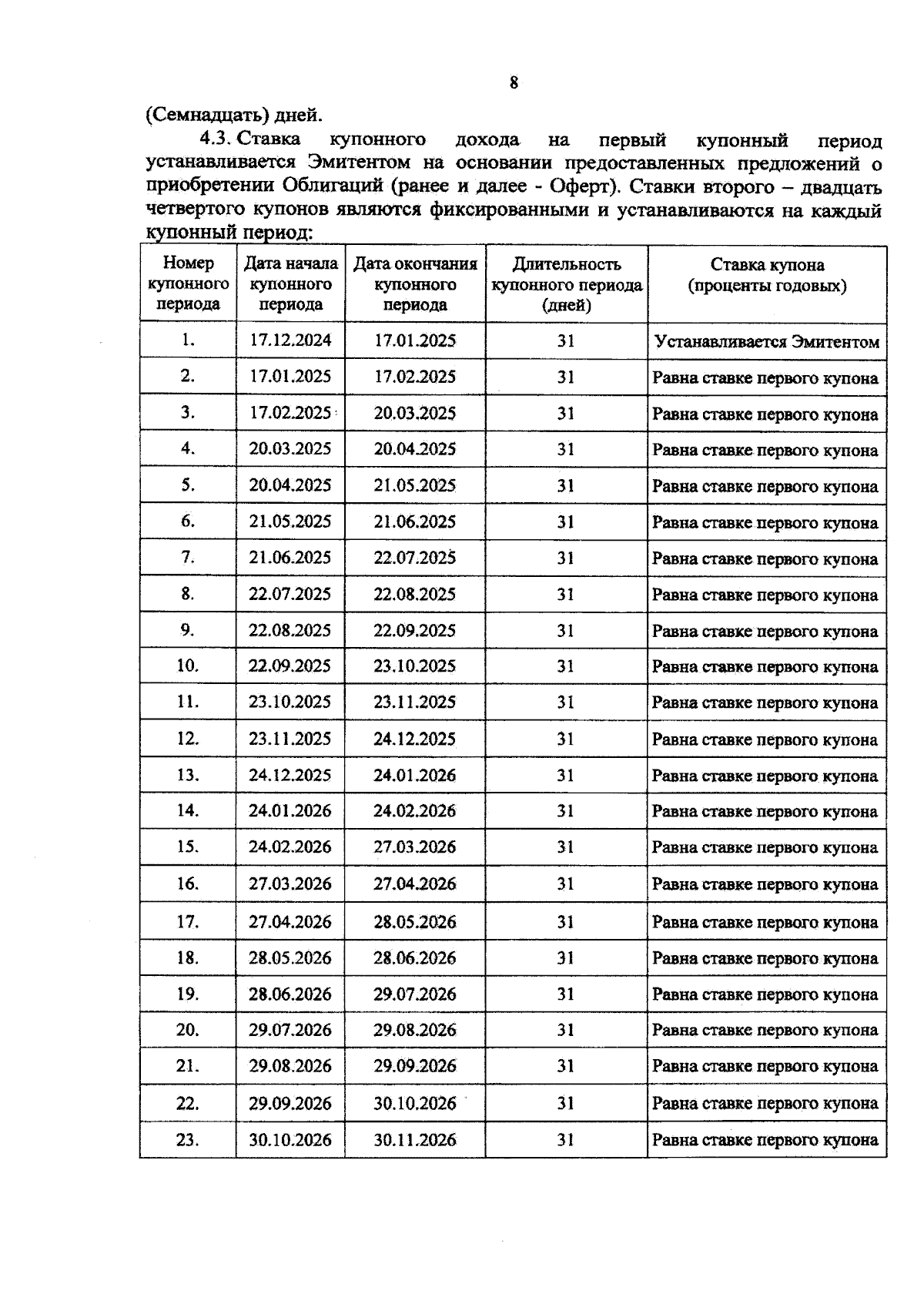
"Об утверждении Решения об эмиссии выпуска государственных облигаций Амурской области в 2024 году с фиксированным купонным доходом"
(Зарегистрирован 06.12.2024 № ИО-555)
Номер опубликования: 2801202412060002
Дата опубликования: 06.12.2024
Страница №10 из 18:
Увеличить