Официальное опубликование правовых актов
ОФИЦИАЛЬНОЕ ОПУБЛИКОВАНИЕ
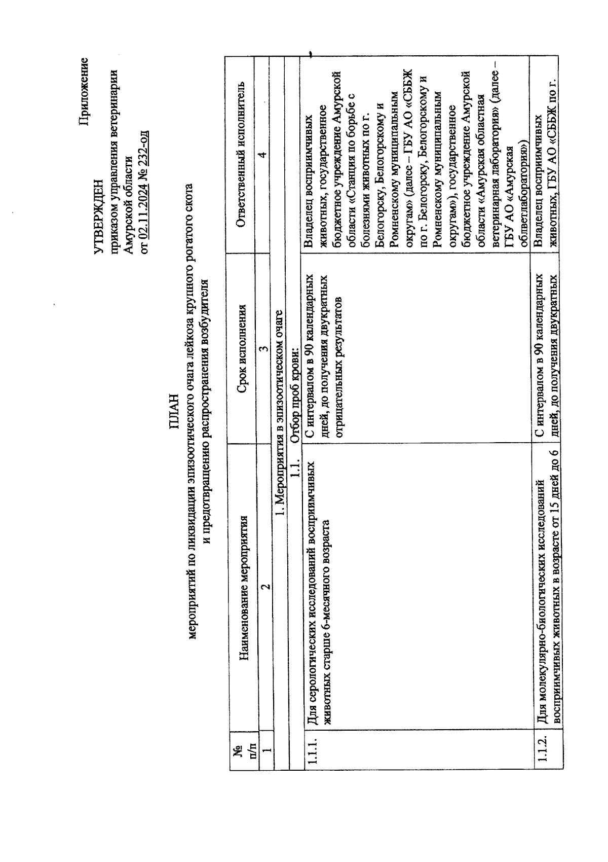
Приказ Управления ветеринарии Амурской области от 02.11.2024 № 232-од
"Об установлении ограничительных мероприятий (карантина) по лейкозу крупного рогатого скота на территории Амурской области"
(Зарегистрирован 02.11.2024 № ИО-522)
Номер опубликования: 2801202411080007
Дата опубликования: 08.11.2024
Страница №4 из 15:
Увеличить