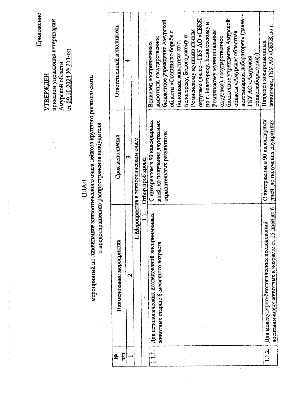
Приказ Управления ветеринарии Амурской области от 09.10.2024 № 213-ОД
"Об установлении ограничительных мероприятий (карантина) по лейкозу крупного рогатого скота на территории Амурской области"
(Зарегистрирован 10.10.2024 № ИО-494)
"Об установлении ограничительных мероприятий (карантина) по лейкозу крупного рогатого скота на территории Амурской области"
(Зарегистрирован 10.10.2024 № ИО-494)
Номер опубликования: 2801202410110002
Дата опубликования:
11.10.2024
