Приказ Министерства социальной защиты населения Амурской области от 09.08.2024 № 642
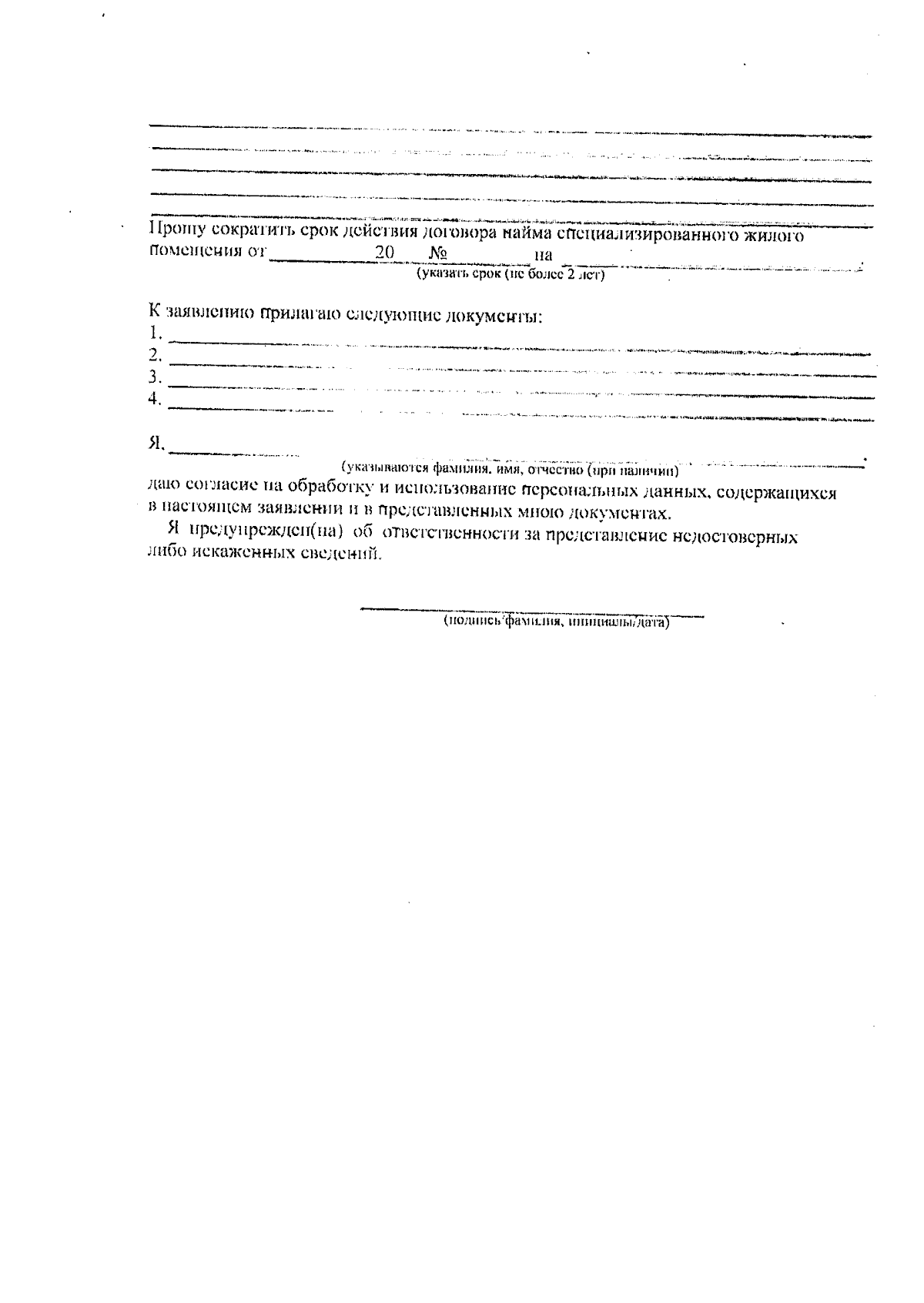
"Об утверждении формы заявления о сокращении срока действия договора найма специализированного жилого помещения, заключенного с лицами, которые относились к категории детей-сирот и детей, оставшихся без попечения родителей, лицами из числа детей-сирот и детей, оставшихся без попечения родителей"
(Зарегистрирован 14.08.2024 № ИО-436)
"Об утверждении формы заявления о сокращении срока действия договора найма специализированного жилого помещения, заключенного с лицами, которые относились к категории детей-сирот и детей, оставшихся без попечения родителей, лицами из числа детей-сирот и детей, оставшихся без попечения родителей"
(Зарегистрирован 14.08.2024 № ИО-436)
Номер опубликования: 2801202408150002
Дата опубликования:
15.08.2024
