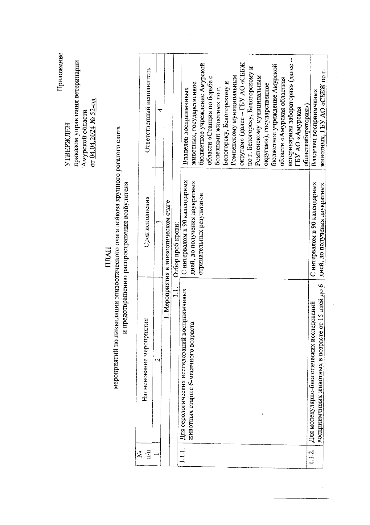
Приказ Управления ветеринарии Амурской области от 04.04.2024 № 52-од
"Об установлении ограничительных мероприятий (карантина) по лейкозу крупного рогатого скота на территории Амурской области"
(Зарегистрирован 05.04.2024 № ИО-226)
"Об установлении ограничительных мероприятий (карантина) по лейкозу крупного рогатого скота на территории Амурской области"
(Зарегистрирован 05.04.2024 № ИО-226)
Номер опубликования: 2801202404090001
Дата опубликования:
09.04.2024
