Официальное опубликование правовых актов
ОФИЦИАЛЬНОЕ ОПУБЛИКОВАНИЕ
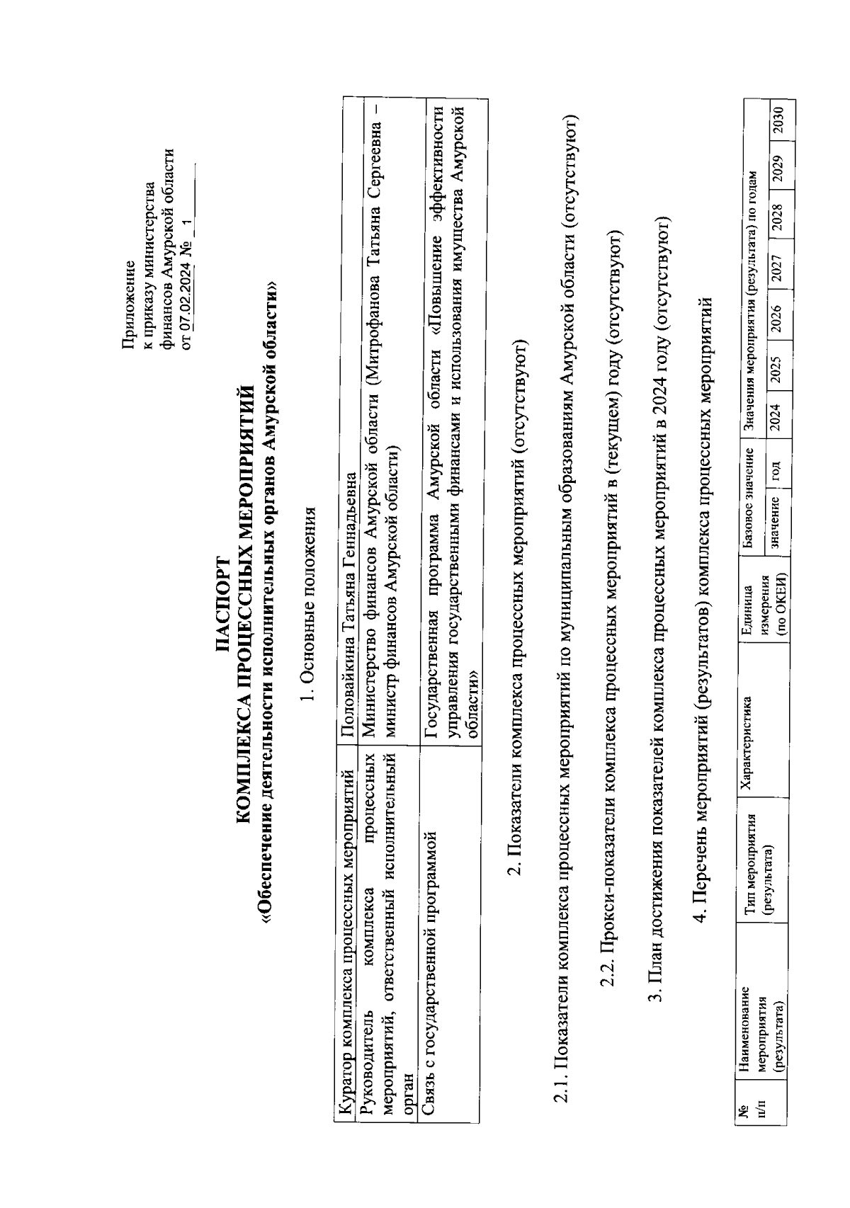
Приказ Министерства финансов Амурской области от 07.02.2024 № 1
"О внесении изменений в приказ министерства финансов Амурской области от 15.11.2023 № 6"
(Зарегистрирован 09.02.2024 № ИО-67)
Номер опубликования: 2801202402120002
Дата опубликования: 12.02.2024
Страница №2 из 5:
Увеличить