Официальное опубликование правовых актов
ОФИЦИАЛЬНОЕ ОПУБЛИКОВАНИЕ
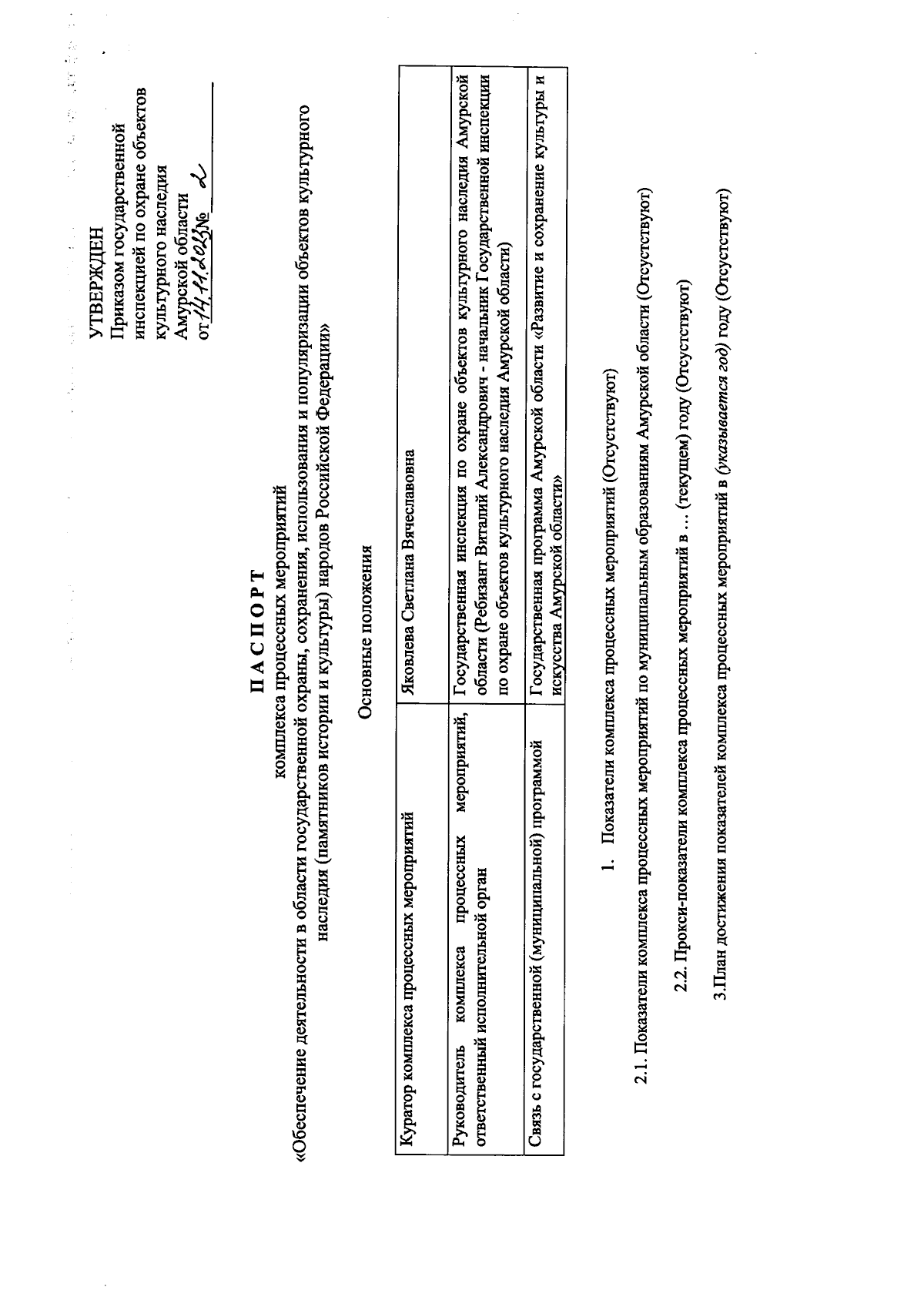
Приказ Государственной инспекции по охране объектов культурного наследия Амурской области от 14.11.2023 № 2
"Об утверждении паспорта проекта Амурской области "Обеспечение деятельности в области государственной охраны, сохранения, использования и популяризации объектов культурного наследия (памятников истории и культуры) народов Российской Федерации"
(Зарегистрирован 17.11.2023 № ИО-324)
Номер опубликования: 2801202311220002
Дата опубликования: 22.11.2023
Страница №3 из 9:
Увеличить