Официальное опубликование правовых актов
ОФИЦИАЛЬНОЕ ОПУБЛИКОВАНИЕ
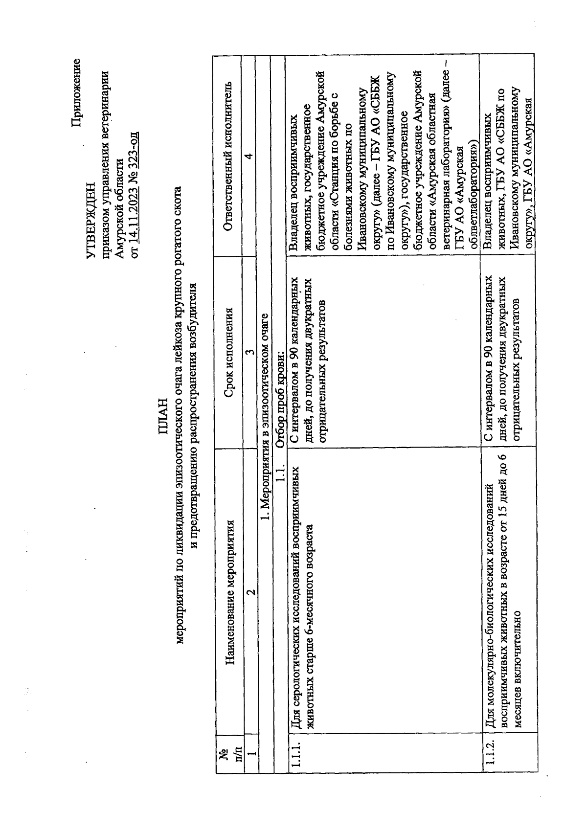
Приказ Управления ветеринарии Амурской области от 14.11.2023 № 323-од
"Об установлении ограничительных мероприятий (карантина) по лейкозу крупного рогатого скота на территории Амурской области"
(Зарегистрирован 17.11.2023 № ИО-327)
Номер опубликования: 2801202311210040
Дата опубликования: 21.11.2023
Страница №4 из 14:
Увеличить