Приказ Министерства культуры и национальной политики Амурской области от 09.11.2023 № 4-ОД/СЭ
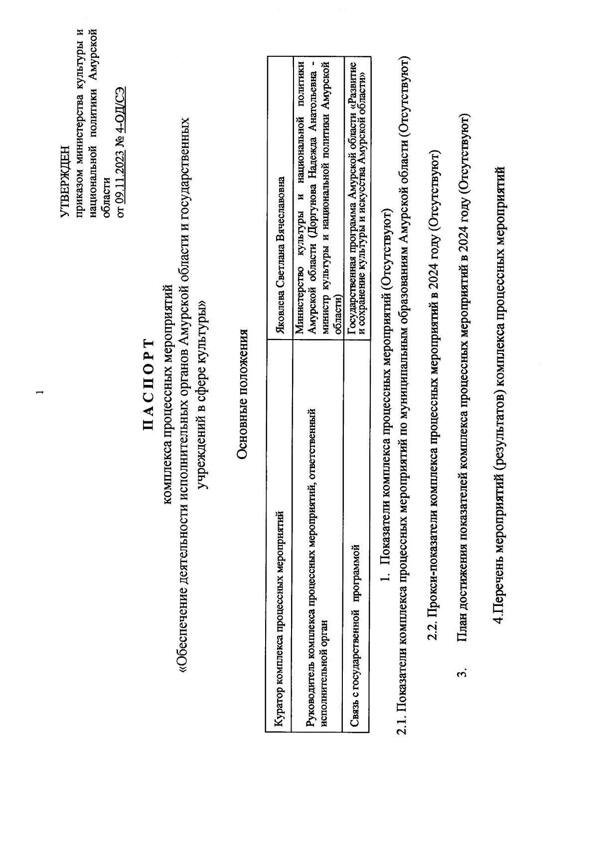
"Об утверждении паспорта комплекса процессных мероприятий "Обеспечение деятельности исполнительных органов Амурской области и государственных учреждений в сфере культуры"
(Зарегистрирован 14.11.2023 № ИО-259)
"Об утверждении паспорта комплекса процессных мероприятий "Обеспечение деятельности исполнительных органов Амурской области и государственных учреждений в сфере культуры"
(Зарегистрирован 14.11.2023 № ИО-259)
Номер опубликования: 2801202311200005
Дата опубликования:
20.11.2023
