Официальное опубликование правовых актов
ОФИЦИАЛЬНОЕ ОПУБЛИКОВАНИЕ
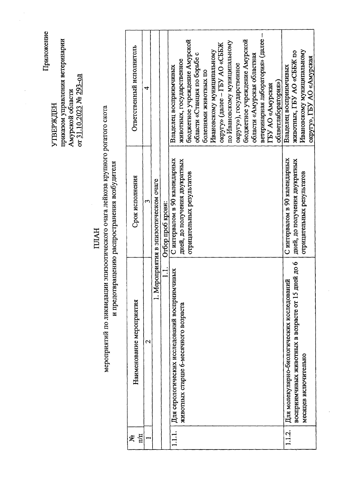
Приказ Управления ветеринарии Амурской области от 31.10.2023 № 293-од
"Об установлении ограничительных мероприятий (карантина) по лейкозу крупного рогатого скота на территории Амурской области"
(Зарегистрирован 02.11.2023 № ИО-187)
Номер опубликования: 2801202311070003
Дата опубликования: 07.11.2023
Страница №4 из 14:
Увеличить