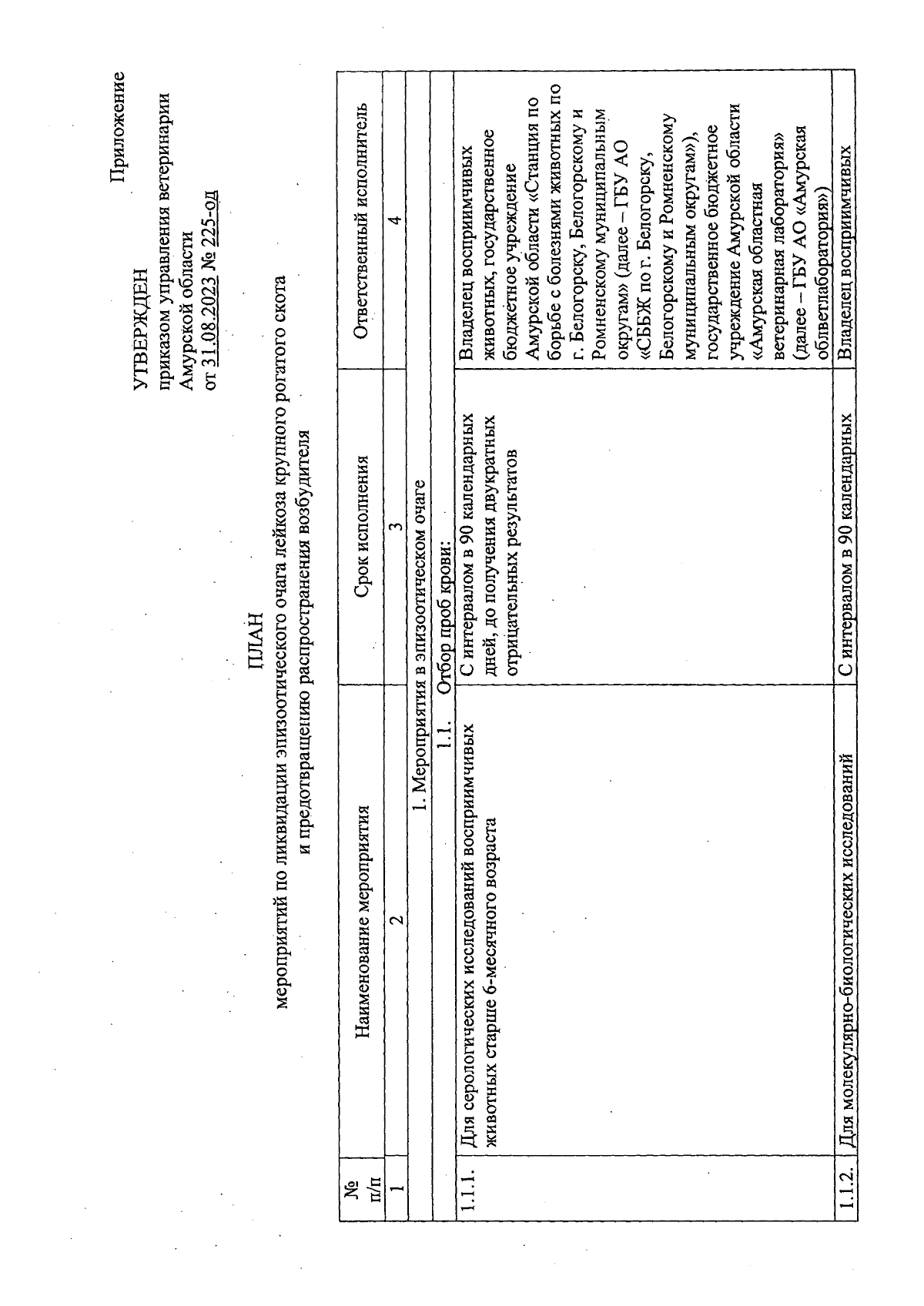
Приказ Управления ветеринарии Амурской области от 31.08.2023 № 225-од
"Об установлении ограничительных мероприятий (карантина) по лейкозу крупного рогатого скота на территории Амурской области"
(Зарегистрирован 01.09.2023 № ИО-118)
"Об установлении ограничительных мероприятий (карантина) по лейкозу крупного рогатого скота на территории Амурской области"
(Зарегистрирован 01.09.2023 № ИО-118)
Номер опубликования: 2801202309050003
Дата опубликования:
05.09.2023
