Официальное опубликование правовых актов
ОФИЦИАЛЬНОЕ ОПУБЛИКОВАНИЕ
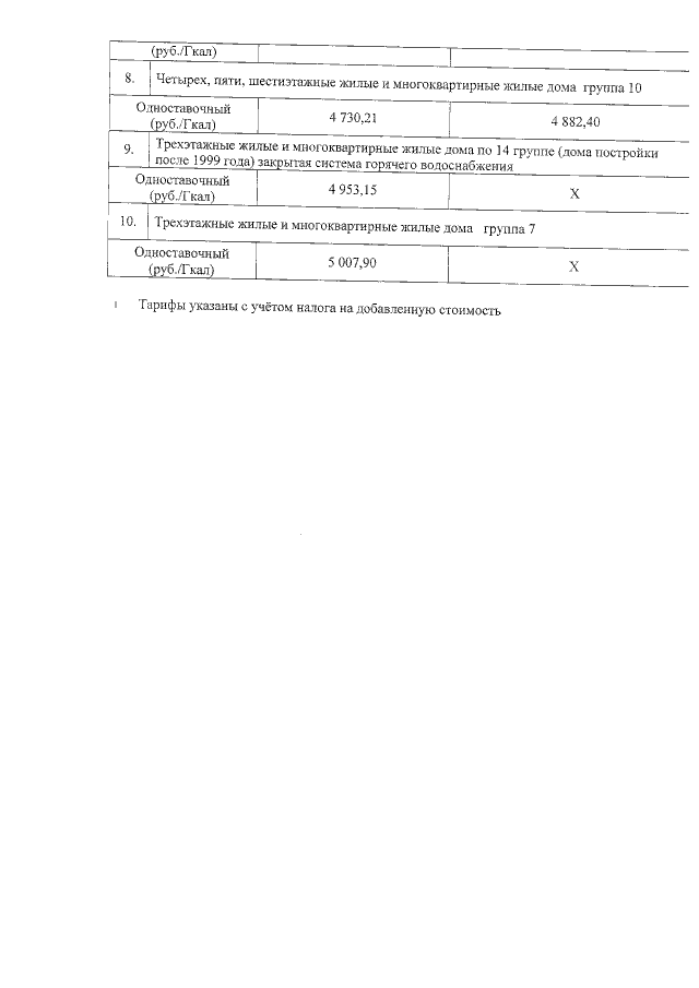
Приказ Управления государственного регулирования цен и тарифов Амурской области от 20.12.2021 № 165-пр/т
"Об установлении льготных тарифов на тепловую энергию, отпускаемую теплоснабжающими организациями, на 2022 год"
Номер опубликования: 2801202112230003
Дата опубликования: 23.12.2021
Страница №115 из 128:
Увеличить