Официальное опубликование правовых актов
ОФИЦИАЛЬНОЕ ОПУБЛИКОВАНИЕ
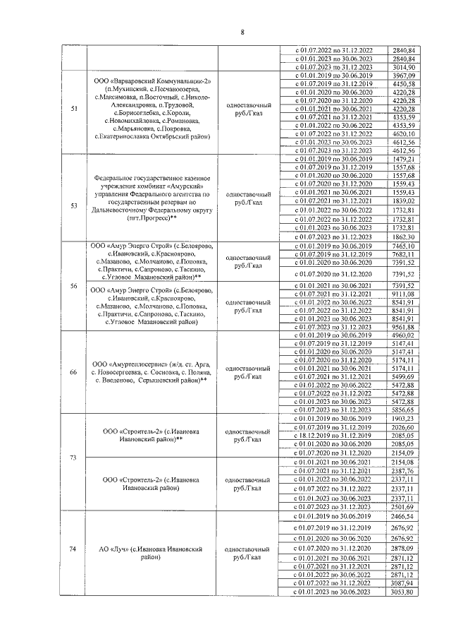
Приказ Управления государственного регулирования цен и тарифов Амурской области от 11.12.2020 № 141-пр/т
"Об установлении тарифов в сфере теплоснабжения на 2020-2025 гг. О внесении изменений в приказы управления государственного регулирования цен и тарифов Амурской области"
Номер опубликования: 2801202012170007
Дата опубликования: 17.12.2020
Страница №8 из 48:
Увеличить