Официальное опубликование правовых актов
ОФИЦИАЛЬНОЕ ОПУБЛИКОВАНИЕ
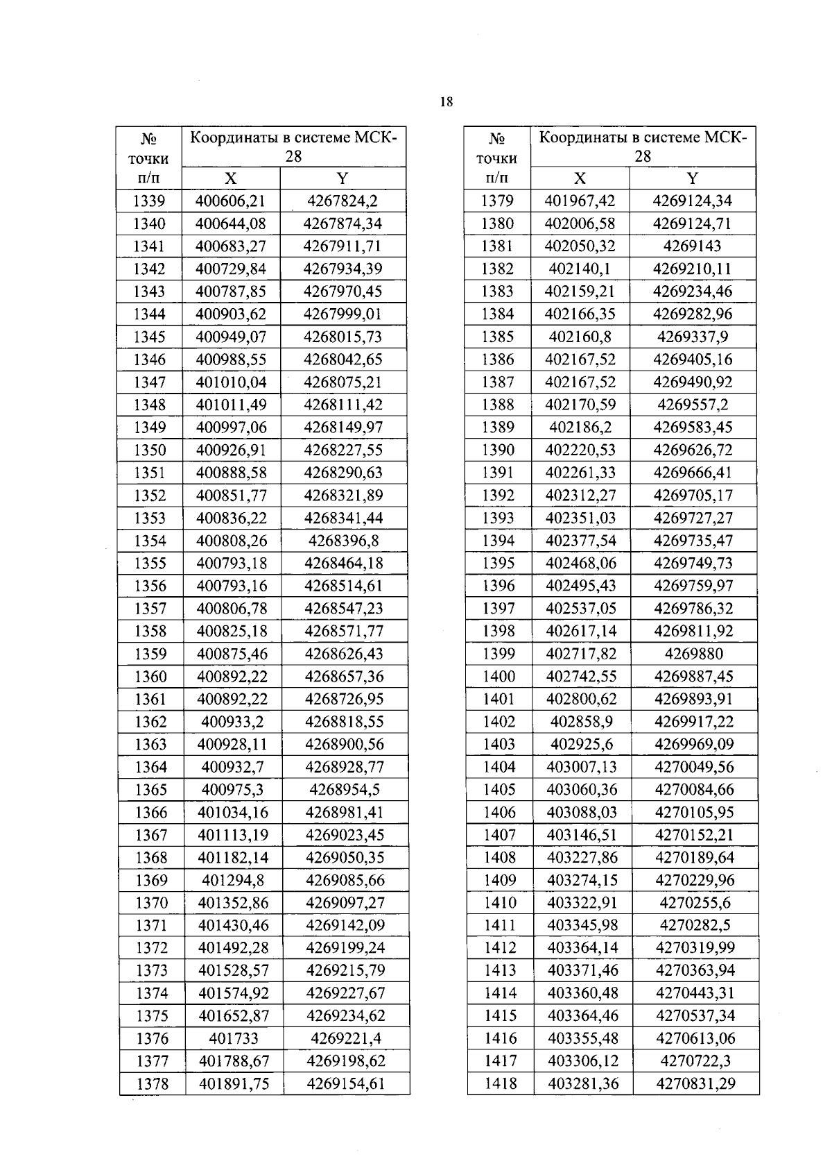
Закон Амурской области от 08.09.2025 № 674-ОЗ
"О внесении изменений в Закон Амурской области "О преобразовании городского и сельских поселений Архаринского района Амурской области во вновь образованное муниципальное образование Архаринский муниципальный округ Амурской области"
Номер опубликования: 2800202509110005
Дата опубликования: 11.09.2025
Страница №22 из 86:
Увеличить