Официальное опубликование правовых актов
ОФИЦИАЛЬНОЕ ОПУБЛИКОВАНИЕ
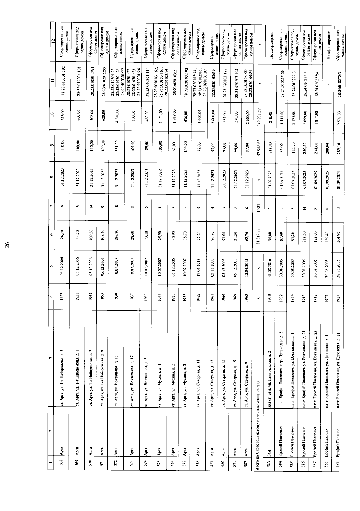
Постановление Правительства Амурской области от 22.07.2025 № 570
"О внесении изменений в постановление Правительства Амурской области от 29.03.2019 № 152"
Номер опубликования: 2800202507250001
Дата опубликования: 25.07.2025
Страница №27 из 53:
Увеличить