Официальное опубликование правовых актов
ОФИЦИАЛЬНОЕ ОПУБЛИКОВАНИЕ
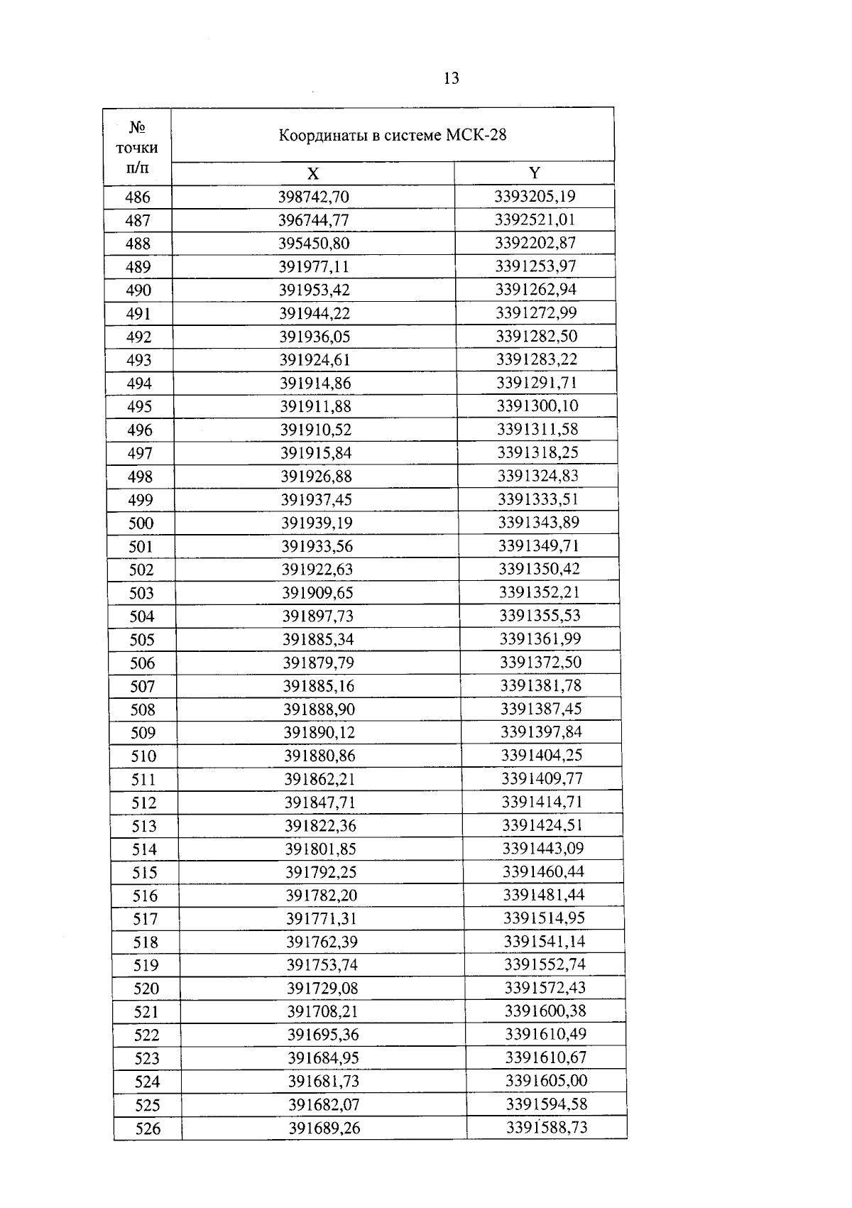
Закон Амурской области от 30.04.2025 № 640-ОЗ
"О преобразовании сельских поселений Михайловского муниципального района Амурской области во вновь образованное муниципальное образование Михайловский муниципальный округ Амурской области"
Номер опубликования: 2800202504300018
Дата опубликования: 30.04.2025
Страница №26 из 160:
Увеличить