Официальное опубликование правовых актов
ОФИЦИАЛЬНОЕ ОПУБЛИКОВАНИЕ
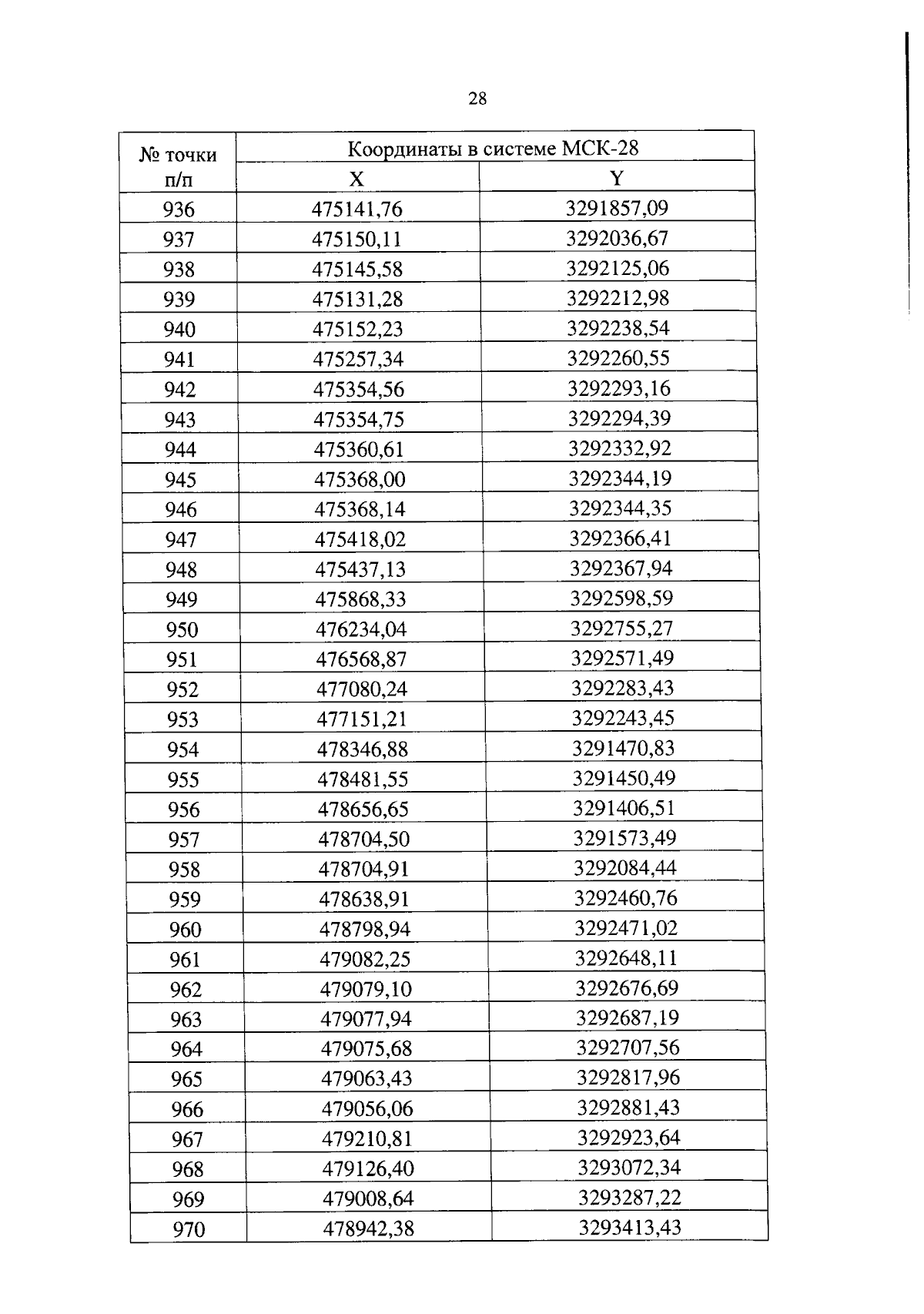
Закон Амурской области от 11.03.2025 № 615-ОЗ
"Об изменении границ городского округа города Благовещенск и Благовещенского муниципального округа Амурской области и о внесении изменений в отдельные законодательные акты Амурской области по вопросам установления границ муниципальных образований"
Номер опубликования: 2800202503140015
Дата опубликования: 14.03.2025
Страница №34 из 171:
Увеличить