Официальное опубликование правовых актов
ОФИЦИАЛЬНОЕ ОПУБЛИКОВАНИЕ
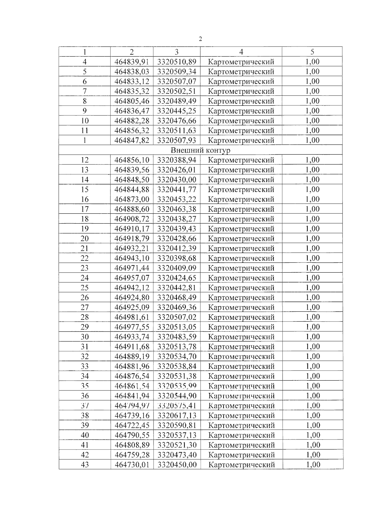
Постановление Правительства Амурской области от 26.02.2025 № 132
"Об установлении зон охраны объекта культурного наследия регионального значения "Богородично-Иоанно-Богословский храм" (время постройки 1881–1882 гг., Амурская область, Ивановский муниципальный округ, с. Ивановка, ул. Партизанская, 99) и утверждении требований к градостроительным регламентам в границах территорий данных зон"
Номер опубликования: 2800202502280012
Дата опубликования: 28.02.2025
Страница №3 из 11:
Увеличить