Официальное опубликование правовых актов
ОФИЦИАЛЬНОЕ ОПУБЛИКОВАНИЕ
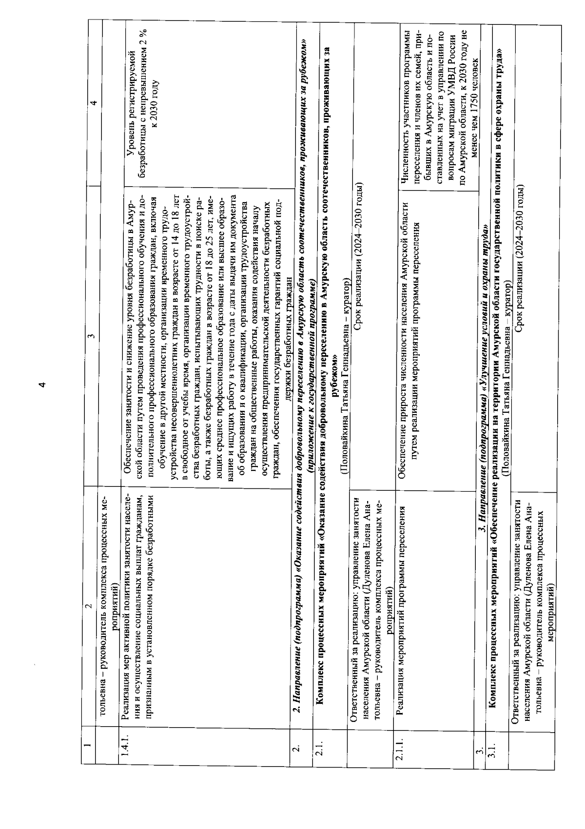
Постановление Правительства Амурской области от 29.03.2024 № 219
"О внесении изменений в постановление Правительства Амурской области от 25.09.2023 № 794"
Номер опубликования: 2800202404020004
Дата опубликования: 02.04.2024
Страница №5 из 20:
Увеличить