Официальное опубликование правовых актов
ОФИЦИАЛЬНОЕ ОПУБЛИКОВАНИЕ
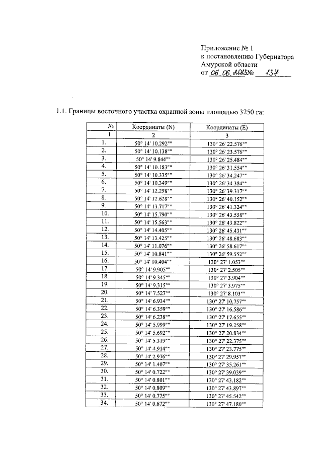
Постановление губернатора Амурской области от 06.06.2023 № 137
"О внесении изменений в постановление Губернатора Амурской области от 07.06.2018 № 116"
Номер опубликования: 2800202306070002
Дата опубликования: 07.06.2023
Страница №3 из 60:
Увеличить