Официальное опубликование правовых актов
ОФИЦИАЛЬНОЕ ОПУБЛИКОВАНИЕ
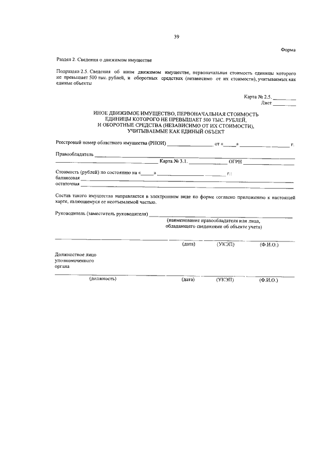
Постановление Правительства Амурской области от 12.04.2023 № 347
"Об утверждении Порядка учета областного имущества и ведения реестра имущества Амурской области"
Номер опубликования: 2800202304140019
Дата опубликования: 14.04.2023
Страница №41 из 62:
Увеличить