Официальное опубликование правовых актов
ОФИЦИАЛЬНОЕ ОПУБЛИКОВАНИЕ
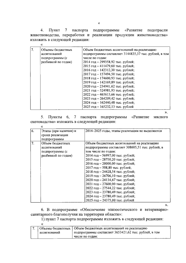
Постановление Правительства Амурской области от 21.12.2022 № 1253
"О внесении изменений в постановление Правительства Амурской области от 25.09.2013 № 447"
Номер опубликования: 2800202212270002
Дата опубликования: 27.12.2022
Страница №5 из 81:
Увеличить