Официальное опубликование правовых актов
ОФИЦИАЛЬНОЕ ОПУБЛИКОВАНИЕ
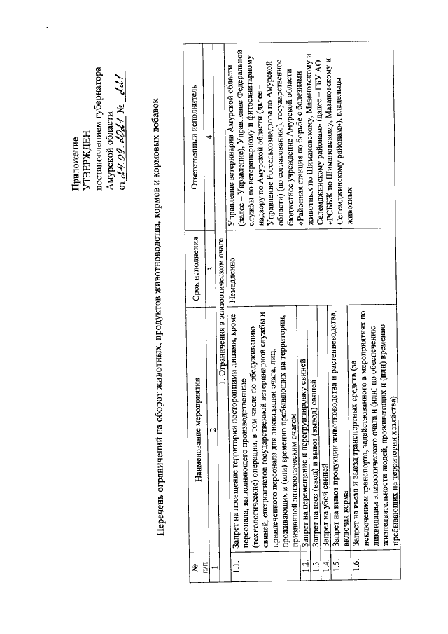
Постановление губернатора Амурской области от 24.09.2021 № 221
"Об установлении ограничительных мероприятий (карантина) по африканской чуме свиней"
Номер опубликования: 2800202110010001
Дата опубликования: 01.10.2021
Страница №3 из 5:
Увеличить