Официальное опубликование правовых актов
ОФИЦИАЛЬНОЕ ОПУБЛИКОВАНИЕ
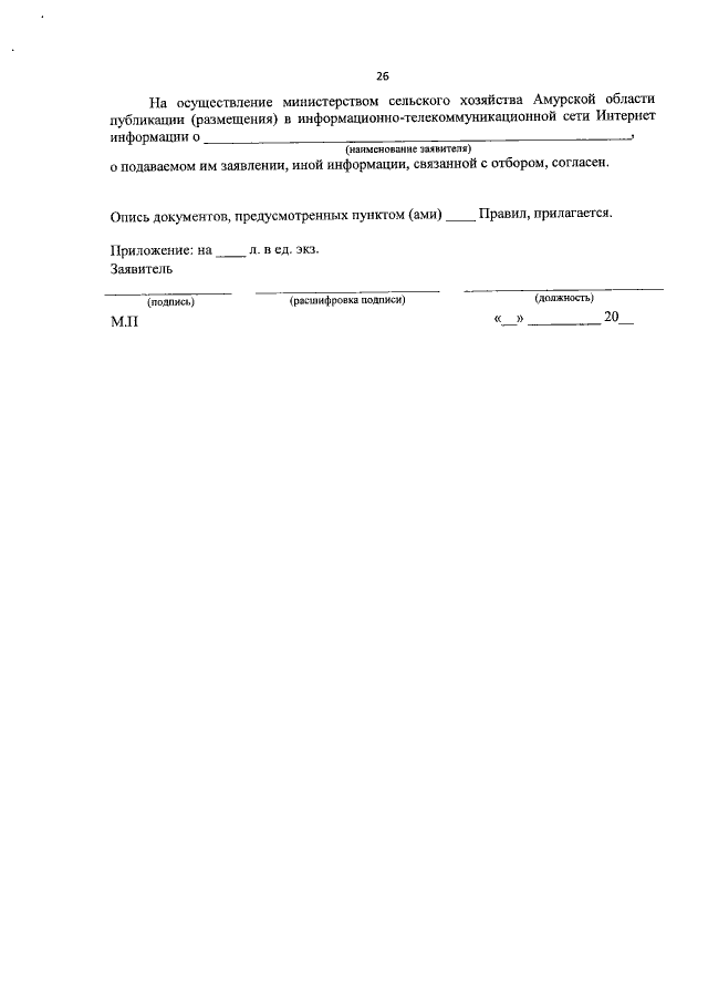
Постановление Правительства Амурской области от 31.05.2021 № 350
"О внесении изменений в постановление Правительства Амурской области от 19.03.2014 № 142"
Номер опубликования: 2800202106070017
Дата опубликования: 07.06.2021
Страница №27 из 45:
Увеличить