Официальное опубликование правовых актов
ОФИЦИАЛЬНОЕ ОПУБЛИКОВАНИЕ
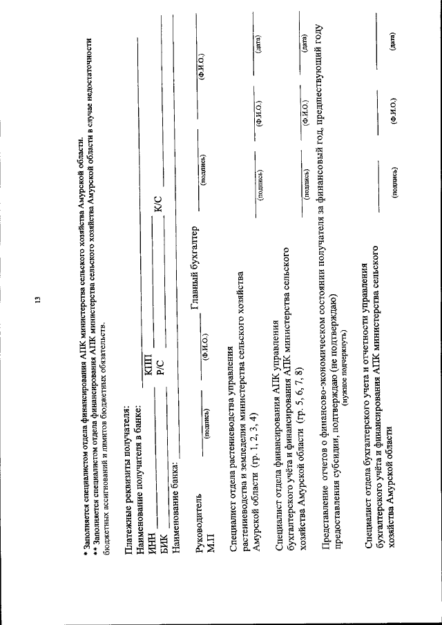
Постановление Правительства Амурской области от 29.07.2020 № 502
"Об утверждении Правил предоставления субсидии на стимулирование развития приоритетных подотраслей агропромышленного комплекса и развитие малых форм хозяйствования ( в части поддержки производства зерновых и зернобобовых культур)"
Номер опубликования: 2800202007310011
Дата опубликования: 31.07.2020
Страница №14 из 18:
Увеличить