Официальное опубликование правовых актов
ОФИЦИАЛЬНОЕ ОПУБЛИКОВАНИЕ
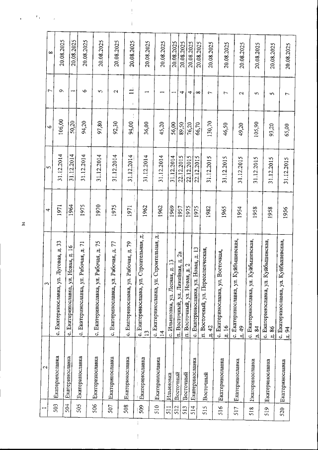
Постановление Правительства Амурской области от 29.03.2019 № 152
"Об утверждении региональной адресной программы "Переселение граждан из аварийного жилищного фонда на территории Амурской области на период 2019-2025 годов"
Номер опубликования: 2800201904040034
Дата опубликования: 04.04.2019
Страница №35 из 65:
Увеличить