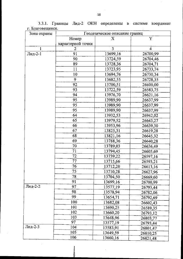
Постановление Правительства Амурской области от 21.06.2018 № 279
"Об утверждении границ зон охраны объекта культурного наследия регионального значения "Здание (бывшее женское епархиальное училище), ныне педучилище №1", режимов использования земель и требований к градостроительным регламентам в границах территорий данных зон"
"Об утверждении границ зон охраны объекта культурного наследия регионального значения "Здание (бывшее женское епархиальное училище), ныне педучилище №1", режимов использования земель и требований к градостроительным регламентам в границах территорий данных зон"
Номер опубликования: 2800201806280010
Дата опубликования:
28.06.2018
