Официальное опубликование правовых актов
ОФИЦИАЛЬНОЕ ОПУБЛИКОВАНИЕ
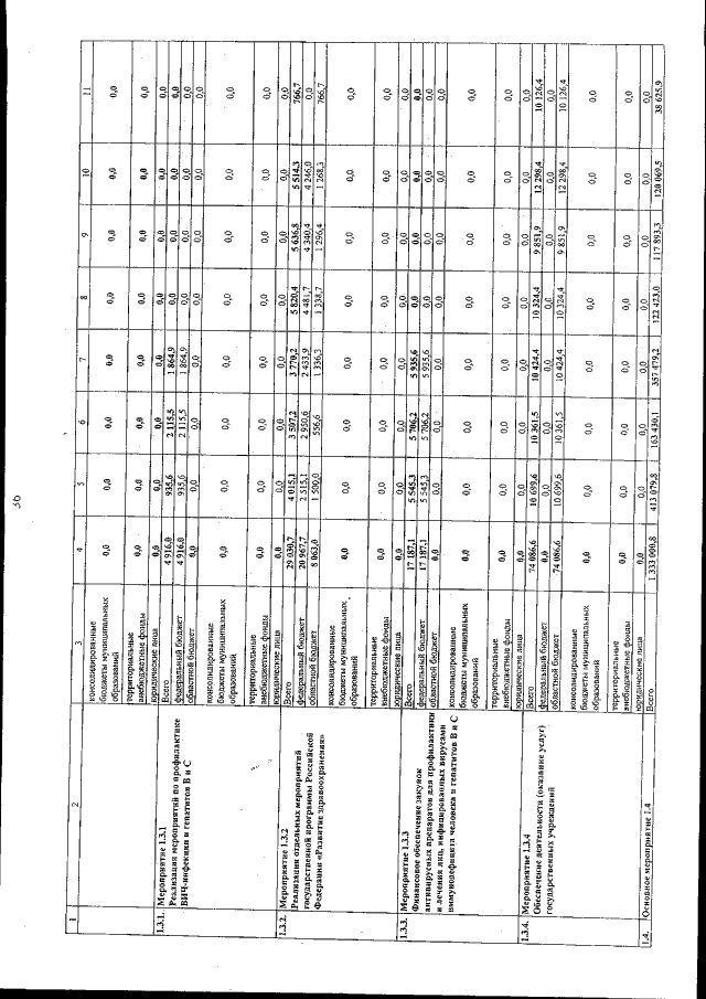
Постановление Правительства Амурской области от 25.01.2017 № 24
"О внесении изменений в постановление Правительства области от 03.07.2013 № 302"
Номер опубликования: 2800201701310011
Дата опубликования: 31.01.2017
Страница №37 из 55:
Увеличить