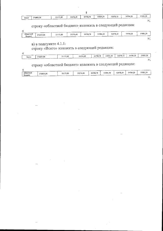
Постановление Правительства Амурской области от 27.01.2016 № 24
"О внесении изменений в постановление Правительства Амурской области от 25.09.2013 № 452"
"О внесении изменений в постановление Правительства Амурской области от 25.09.2013 № 452"
Номер опубликования: 2800201602010005
Дата опубликования:
01.02.2016
