Постановление Правительства Амурской области от 30.12.2015 № 657
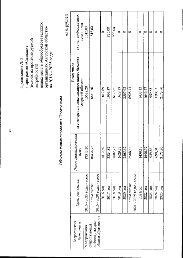
"Об утверждении программы "Создание (исходя из прогнозируемой потребности) новых мест в общеобразовательных организациях Амурской области" на 2016 - 2025 годы"
"Об утверждении программы "Создание (исходя из прогнозируемой потребности) новых мест в общеобразовательных организациях Амурской области" на 2016 - 2025 годы"
Номер опубликования: 2800201512310034
Дата опубликования:
31.12.2015
