Официальное опубликование правовых актов
ОФИЦИАЛЬНОЕ ОПУБЛИКОВАНИЕ
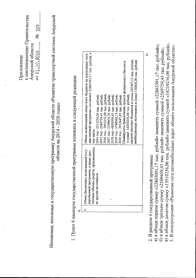
Постановление Правительства Амурской области от 21.10.2015 № 505
"О внесении изменений в постановление Правительства Амурской области от 25.09.2013 № 450"
Номер опубликования: 2800201510230012
Дата опубликования: 23.10.2015
Страница №2 из 42:
Увеличить