Официальное опубликование правовых актов
ОФИЦИАЛЬНОЕ ОПУБЛИКОВАНИЕ
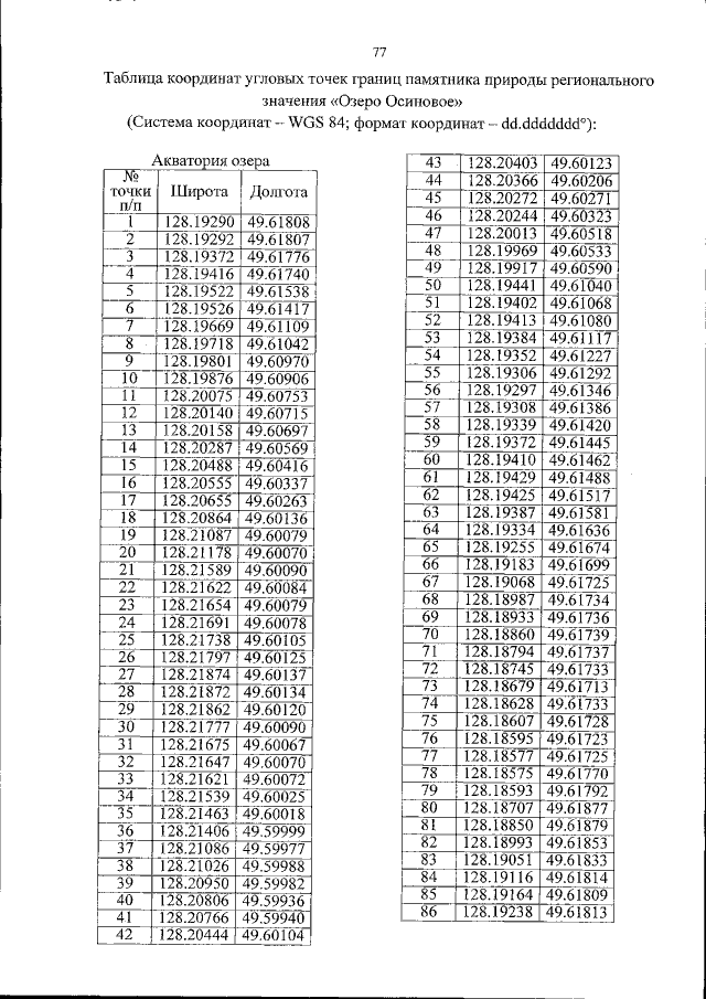
Постановление Правительства Амурской области от 25.05.2015 № 238
"Об утверждении границ территорий памятников природы регионального значения"
Номер опубликования: 2800201505270002
Дата опубликования: 27.05.2015
Страница №78 из 110:
Увеличить