Официальное опубликование правовых актов
ОФИЦИАЛЬНОЕ ОПУБЛИКОВАНИЕ
Приказ Министерства здравоохранения Хабаровского края от 21.11.2024 № 7
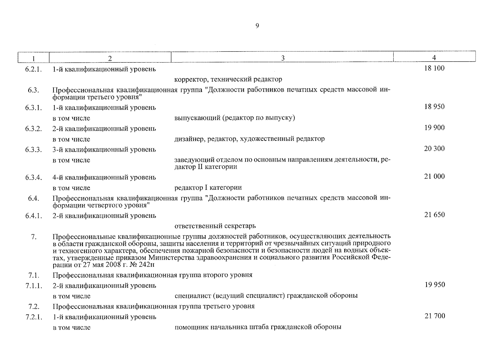
"О внесении изменений в Примерное положение об оплате труда работников краевых государственных бюджетных, автономных учреждений, подведомственных министерству здравоохранения Хабаровского края по видам экономической деятельности "Здравоохранение и предоставление социальных услуг" и "Образование", утвержденное приказом министерства здравоохранения Хабаровского края от 9 июля 2015 г. № 8"
(Зарегистрирован 22.11.2024 № 8)
Номер опубликования: 2701202411250001
Дата опубликования: 25.11.2024
Страница №11 из 14:
Увеличить