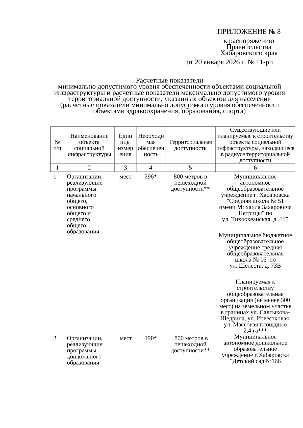
Распоряжение Правительства Хабаровского края от 20.01.2026 № 11-рп
"О комплексном развитии территории жилой застройки в границах ул. Салтыкова-Щедрина – ул. Тихоокеанской в Краснофлотском районе городского округа "Город Хабаровск"
"О комплексном развитии территории жилой застройки в границах ул. Салтыкова-Щедрина – ул. Тихоокеанской в Краснофлотском районе городского округа "Город Хабаровск"
Номер опубликования: 2700202601230001
Дата опубликования:
23.01.2026
