Официальное опубликование правовых актов
ОФИЦИАЛЬНОЕ ОПУБЛИКОВАНИЕ
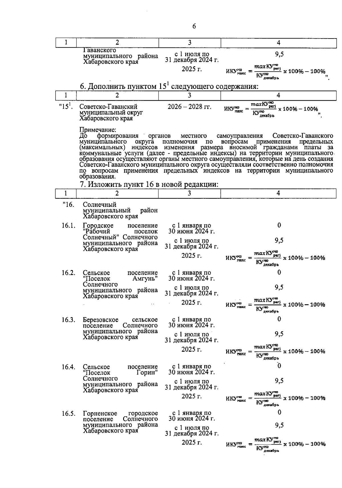
Постановление Губернатора Хабаровского края от 22.12.2025 № 108
"О внесении изменений в отдельные постановления Губернатора Хабаровского края"
Номер опубликования: 2700202512230029
Дата опубликования: 23.12.2025
Страница №8 из 9:
Увеличить