Официальное опубликование правовых актов
ОФИЦИАЛЬНОЕ ОПУБЛИКОВАНИЕ
Постановление Правительства Хабаровского края от 22.12.2025 № 574-пр
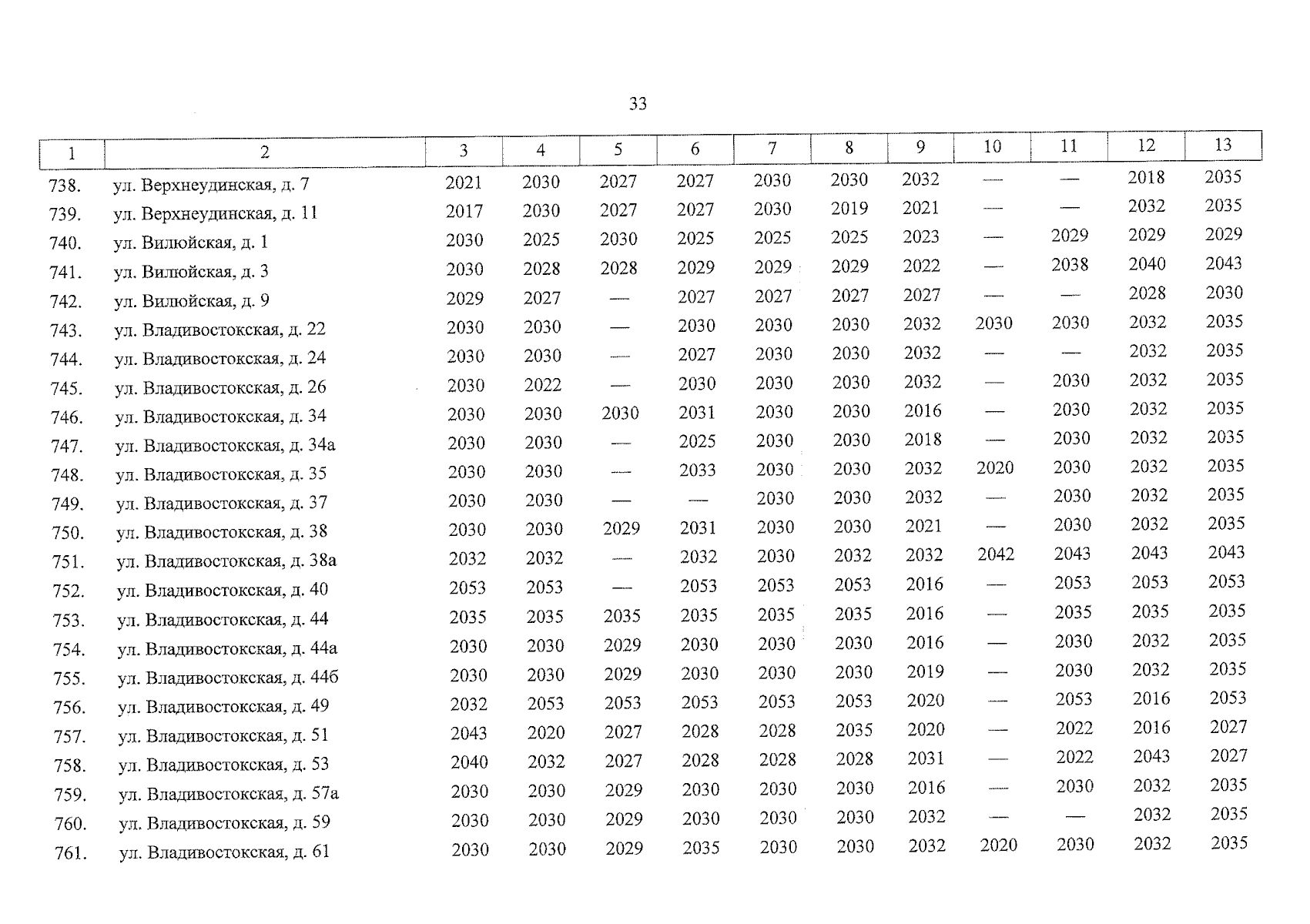
"О внесении изменений в постановление Правительства Хабаровского края от 30 декабря 2013 г. № 479-пр "Об утверждении Программы капитального ремонта общего имущества в многоквартирных домах Хабаровского края на 2014 – 2053 годы"
Номер опубликования: 2700202512220012
Дата опубликования: 22.12.2025
Страница №34 из 342:
Увеличить