Официальное опубликование правовых актов
ОФИЦИАЛЬНОЕ ОПУБЛИКОВАНИЕ
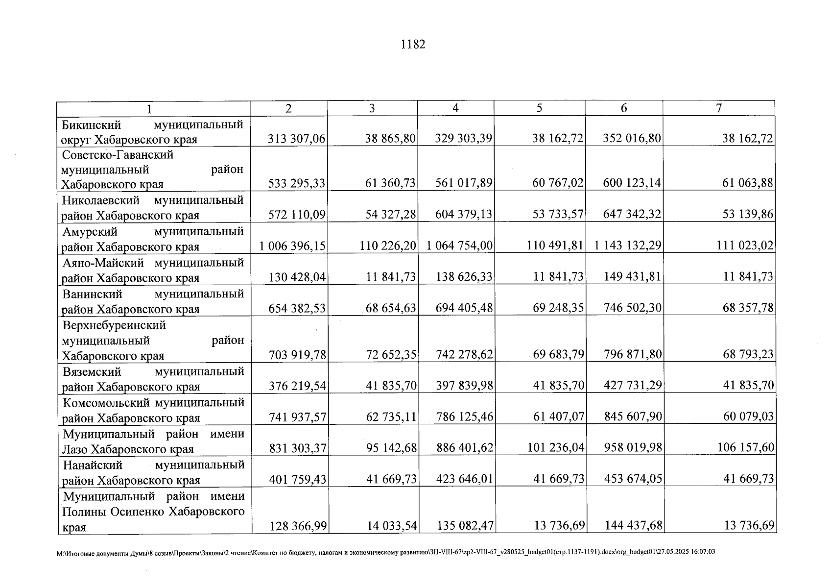
Закон Хабаровского края от 02.06.2025 № 69
"О внесении изменений в Закон Хабаровского края "О краевом бюджете на 2025 год и на плановый период 2026 и 2027 годов"
Номер опубликования: 2700202506030005
Дата опубликования: 03.06.2025
Страница №1182 из 1191:
Увеличить