Официальное опубликование правовых актов
ОФИЦИАЛЬНОЕ ОПУБЛИКОВАНИЕ
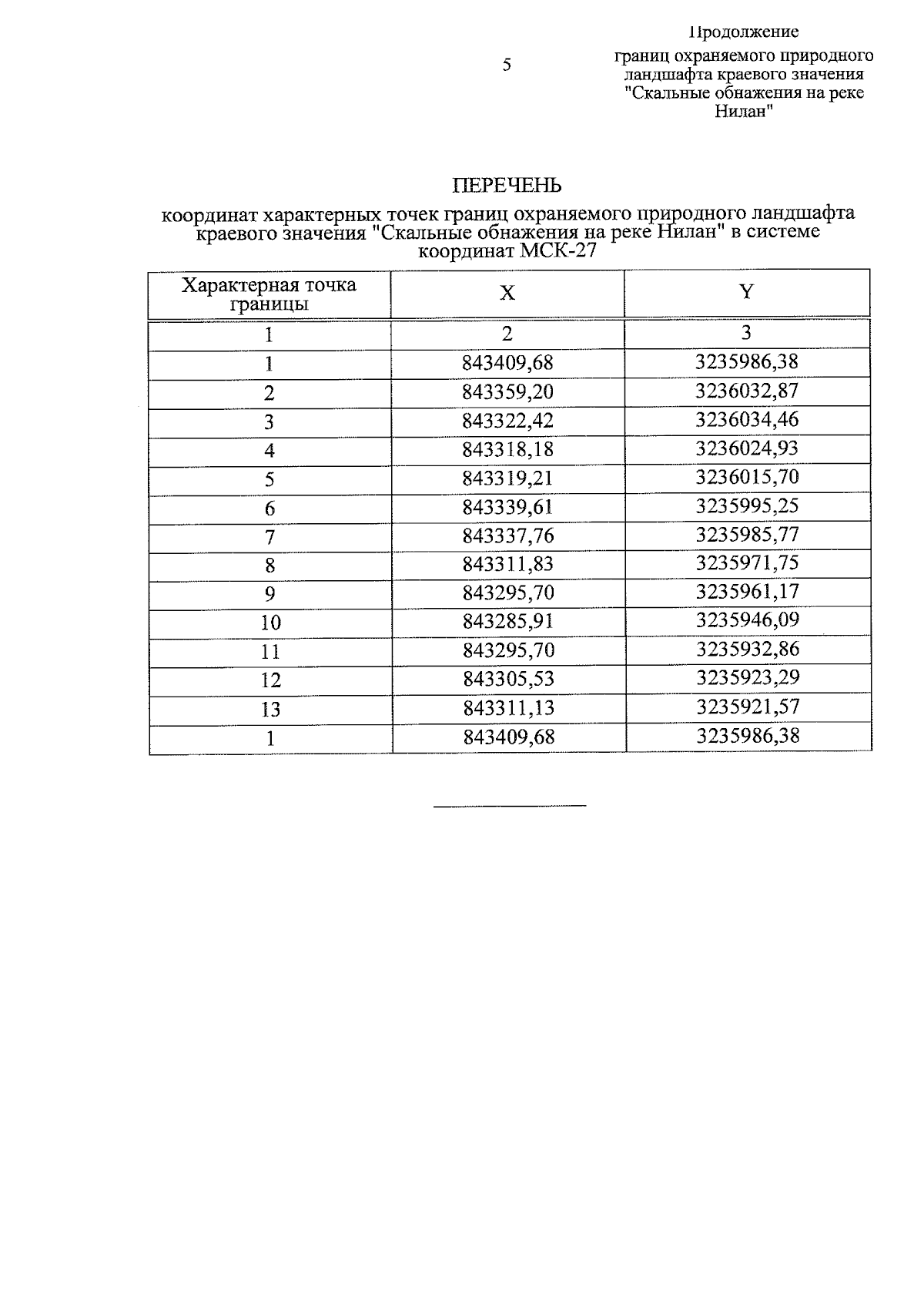
Постановление Правительства Хабаровского края от 22.05.2025 № 242-пр
"Об образовании охраняемого природного ландшафта краевого значения "Скальные обнажения на реке Нилан" на территории муниципального района имени Полины Осипенко Хабаровского края"
Номер опубликования: 2700202505230006
Дата опубликования: 23.05.2025
Страница №10 из 10:
Увеличить