Официальное опубликование правовых актов
ОФИЦИАЛЬНОЕ ОПУБЛИКОВАНИЕ
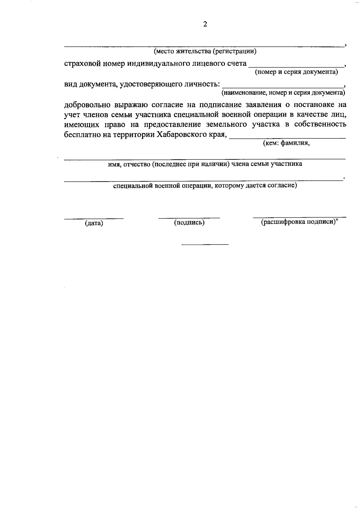
Постановление Правительства Хабаровского края от 10.03.2025 № 106-пр
"О внесении изменений в отдельные постановления Правительства Хабаровского края"
Номер опубликования: 2700202503100006
Дата опубликования: 10.03.2025
Страница №9 из 9:
Увеличить