Официальное опубликование правовых актов
ОФИЦИАЛЬНОЕ ОПУБЛИКОВАНИЕ
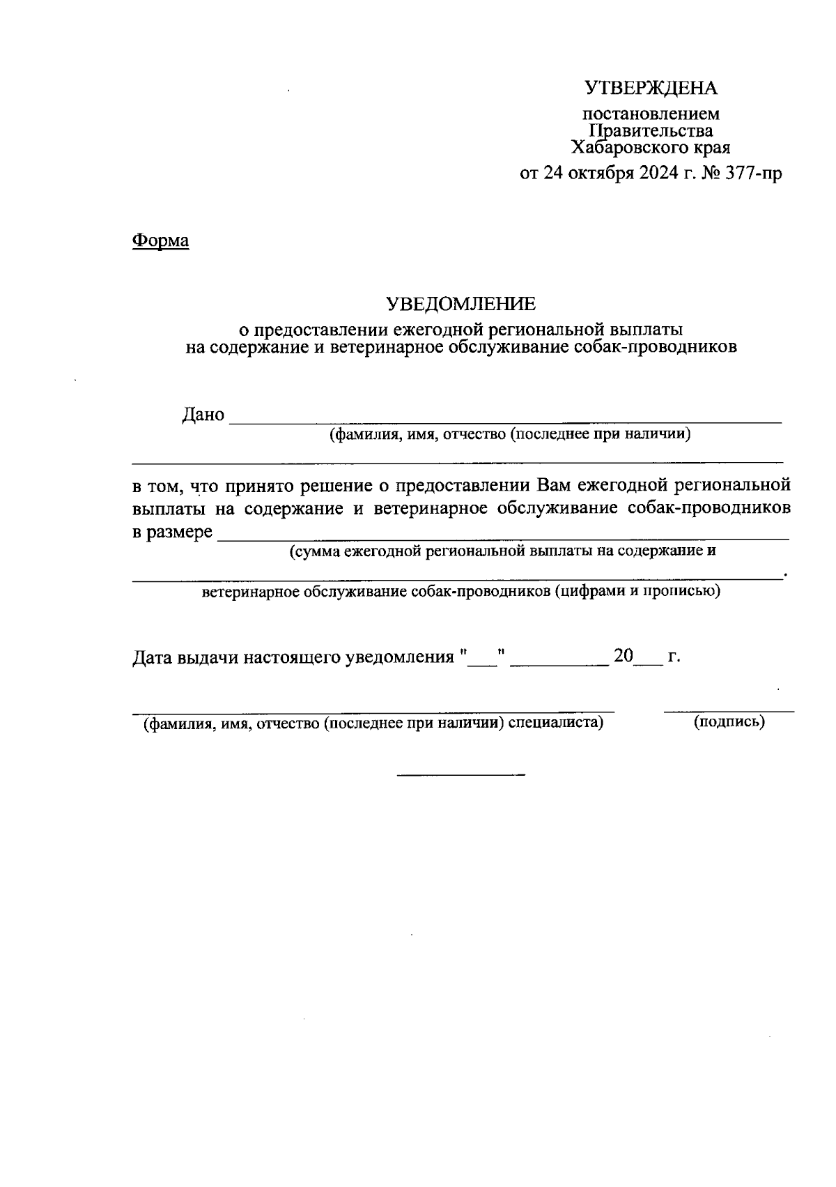
Постановление Правительства Хабаровского края от 24.10.2024 № 377-пр
"О дополнительной мере социальной поддержки инвалидов, имеющих в пользовании в качестве специального средства для ориентации собак-проводников"
Номер опубликования: 2700202410280008
Дата опубликования: 28.10.2024
Страница №8 из 10:
Увеличить