Официальное опубликование правовых актов
ОФИЦИАЛЬНОЕ ОПУБЛИКОВАНИЕ
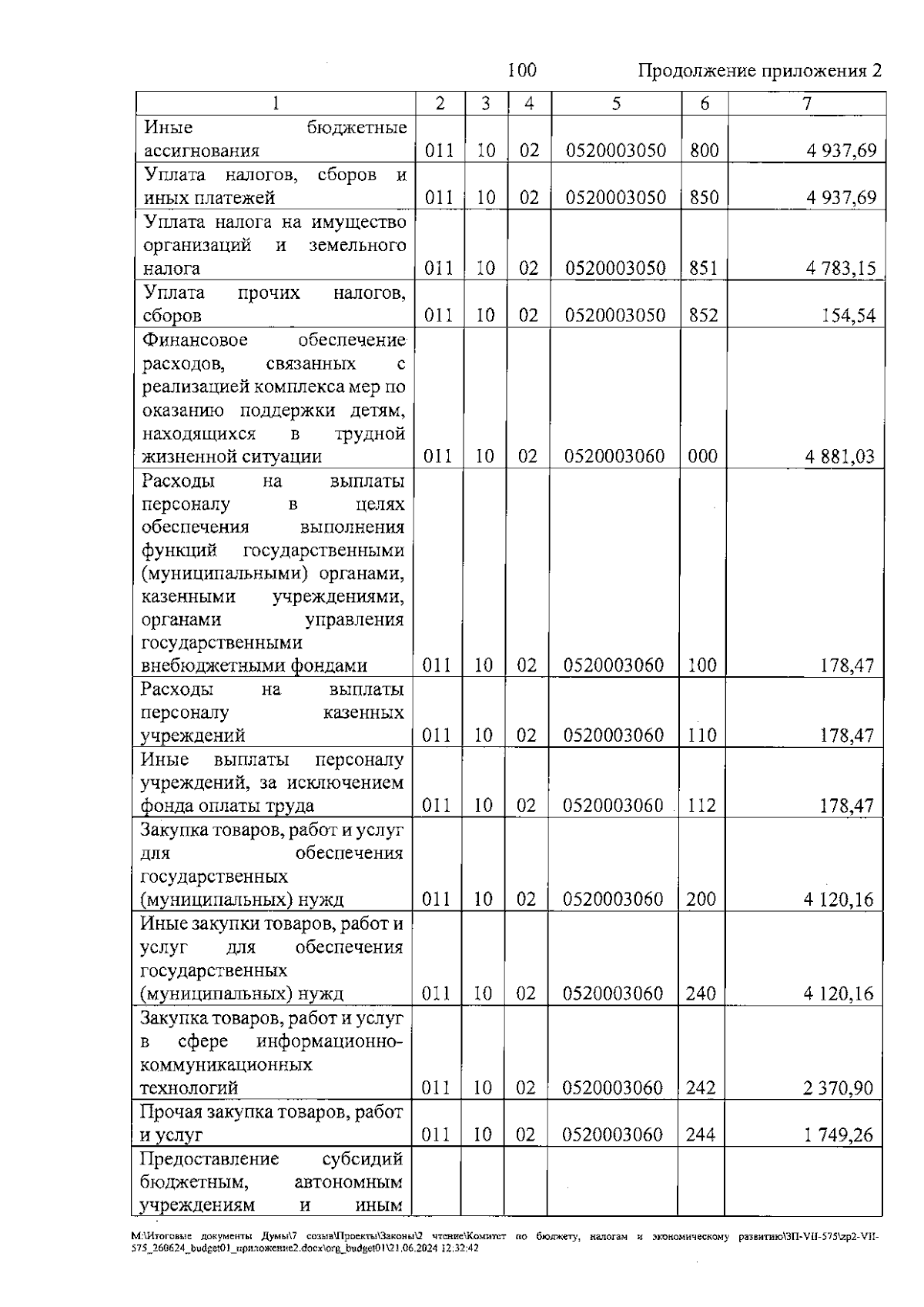
Закон Хабаровского края от 28.06.2024 № 502
"Об исполнении краевого бюджета за 2023 год"
Номер опубликования: 2700202407030004
Дата опубликования: 03.07.2024
Страница №224 из 887:
Увеличить