Официальное опубликование правовых актов
ОФИЦИАЛЬНОЕ ОПУБЛИКОВАНИЕ
Постановление Правительства Хабаровского края от 29.09.2023 № 454-пр
"О внесении изменений в постановление Правительства Хабаровского края от 14 сентября 2011 г. № 303-пр "Об утверждении государственной программы Хабаровского края "Развитие коренных малочисленных народов Севера, Сибири и Дальнего Востока Российской Федерации, проживающих в Хабаровском крае"
Номер опубликования: 2700202310050029
Дата опубликования: 05.10.2023
Страница №9 из 26:
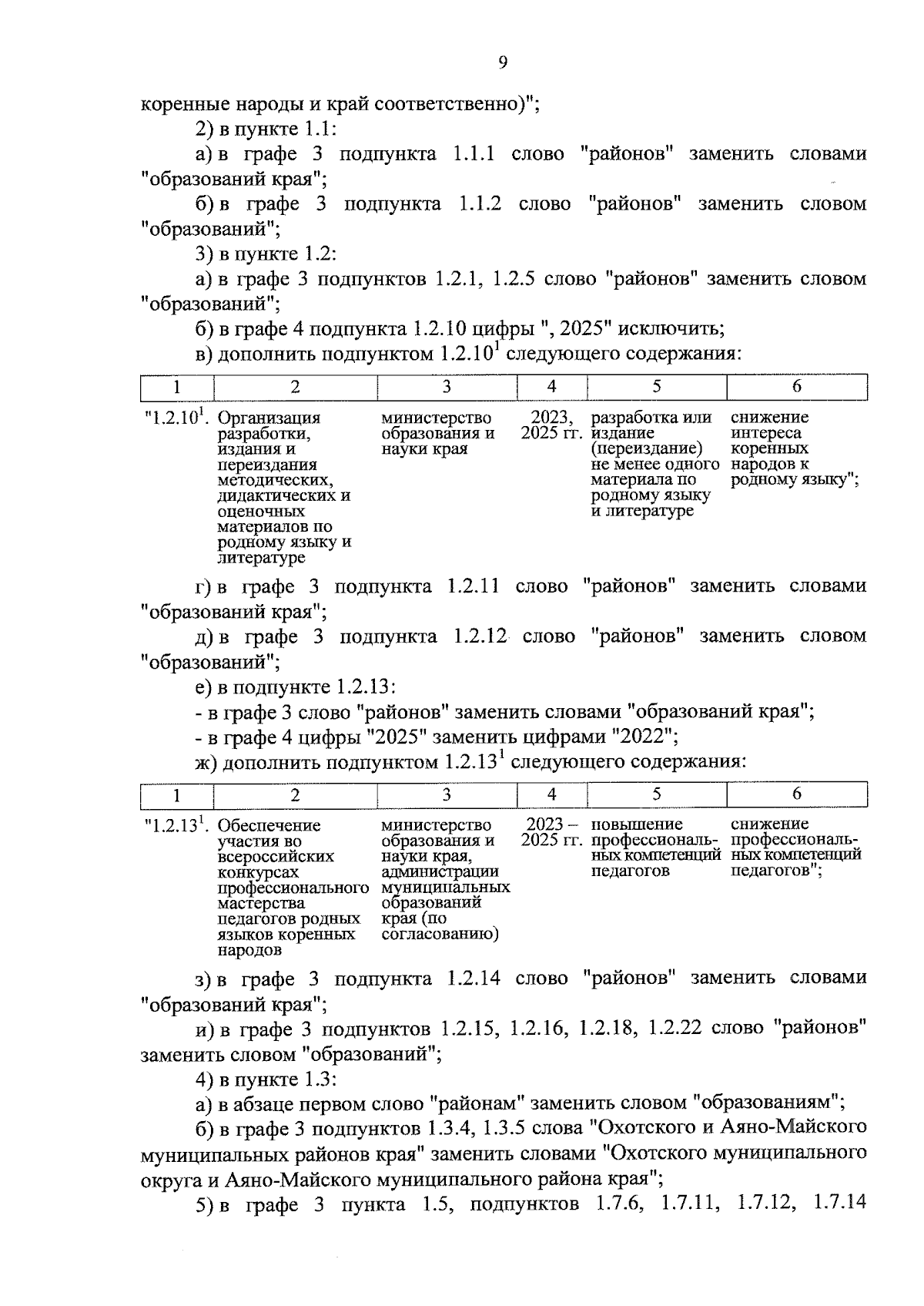
Увеличить