Официальное опубликование правовых актов
ОФИЦИАЛЬНОЕ ОПУБЛИКОВАНИЕ
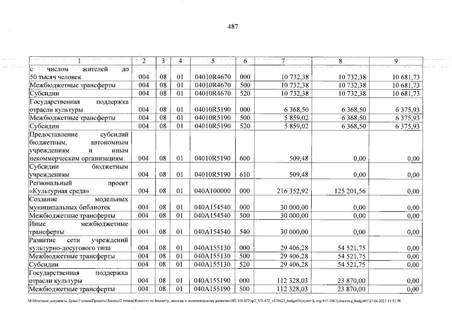
Закон Хабаровского края от 28.06.2023 № 410
"О внесении изменений в Закон Хабаровского края "О краевом бюджете на 2023 год и на плановый период 2024 и 2025 годов"
Номер опубликования: 2700202306300015
Дата опубликования: 30.06.2023
Страница №487 из 1119:
Увеличить