Официальное опубликование правовых актов
ОФИЦИАЛЬНОЕ ОПУБЛИКОВАНИЕ
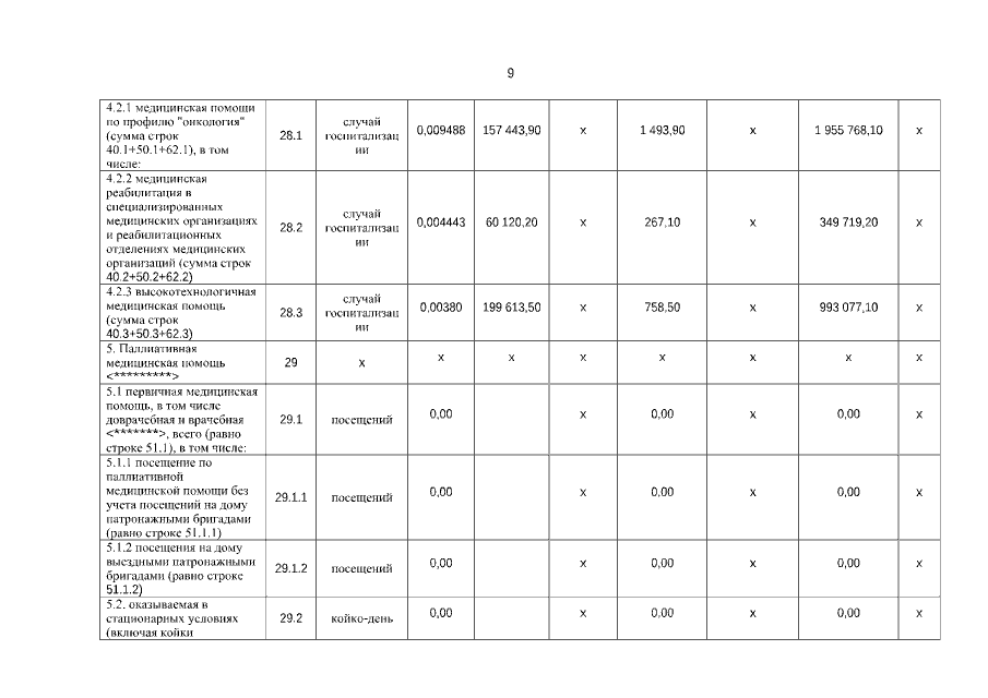
Постановление Правительства Хабаровского края от 27.12.2022 № 702-пр
"О внесении изменений в Территориальную программу государственных гарантий бесплатного оказания гражданам медицинской помощи на территории Хабаровского края на 2022 год и на плановый период 2023 и 2024 годов, утвержденную постановлением Правительства Хабаровского края от 30 декабря 2021 г. № 696-пр"
Номер опубликования: 2700202212280003
Дата опубликования: 28.12.2022
Страница №23 из 41:
Увеличить