Официальное опубликование правовых актов
ОФИЦИАЛЬНОЕ ОПУБЛИКОВАНИЕ
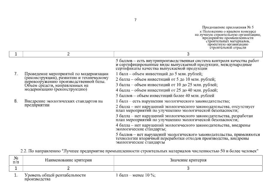
Постановление Губернатора Хабаровского края от 27.12.2021 № 135
"О краевом конкурсе на лучшие строительную организацию, предприятие промышленности строительных материалов, проектную организацию строительной отрасли"
Номер опубликования: 2700202112290001
Дата опубликования: 29.12.2021
Страница №29 из 36:
Увеличить