Официальное опубликование правовых актов
ОФИЦИАЛЬНОЕ ОПУБЛИКОВАНИЕ
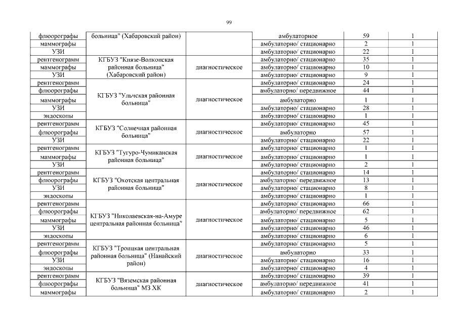
Распоряжение Правительства Хабаровского края от 23.07.2021 № 642-рп
"О внесении изменений в региональную программу Хабаровского края "Борьба с онкологическими заболеваниями", утвержденную распоряжением Правительства Хабаровского края от 27 июня 2019 г. № 531-рп"
Номер опубликования: 2700202107260001
Дата опубликования: 26.07.2021
Страница №100 из 178:
Увеличить