Официальное опубликование правовых актов
ОФИЦИАЛЬНОЕ ОПУБЛИКОВАНИЕ
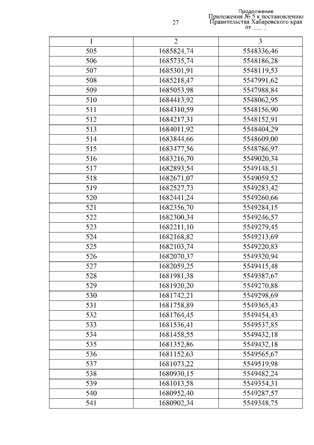
Постановление Правительства Хабаровского края от 10.06.2021 № 226-пр
"Об утверждении Положения о памятнике природы краевого значения "Сихотэ-Алинь" и о внесении изменений в отдельные нормативные правовые акты Хабаровского края в области организации, охраны и использования особо охраняемых природных территорий краевого значения"
Номер опубликования: 2700202106110001
Дата опубликования: 11.06.2021
Страница №181 из 619:
Увеличить